メインコンテンツにスキップ

スペクトル・特性データ

本ページでは、シンチレーションファイバー/波長変換ファイバーの発光スペクトルと主要特性(発光ピーク、減衰時間、減衰長など)を掲載しています。型番比較や導入検討の参考にご活用ください。

シンチレーションファイバー

放射線を受けて発光し、検出に使う基本タイプです。発光ピーク/減衰時間/減衰長を比較できます。

DescriptionEmissionDecay time
[ns]
Att.Leng.
[m]
Light yield
[photon/MeV]
Characteristics
Color Peak[nm]
SCSF-78 blue4502.8>4.0≳14,000Long Att. Length and High Light Yield
SCSF-81blue4372.4>3.5≳11,000Long Att. Length
SCSF-3HF(1500)green5307>4.5≳8,0003HF formulation for Radiation Hardness

※掲載データは比較検討用の代表値です。測定条件により値は変動します。保証値ではありません。
※掲載データ:1mmφ、マルチクラッド、Non-Sタイプの測定値

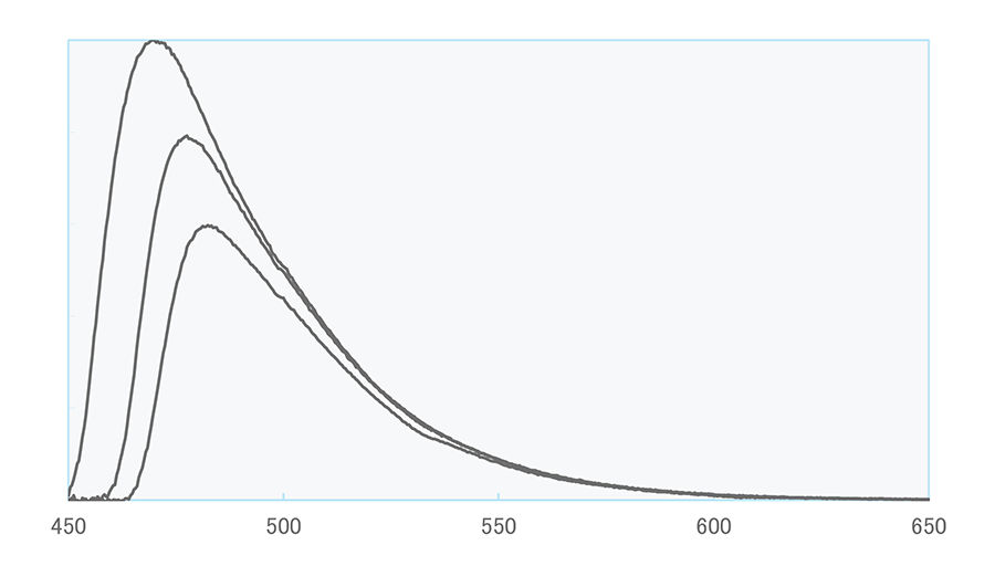
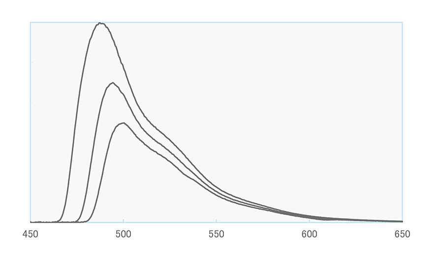
発光スペクトル

※掲載データは代表値です。測定条件により値は変動します。製品仕様の保証値ではありません。

<SCSF-78>

グラフ:SCSF-78

<SCSF-81>

グラフ:SCSF-81

<SCSF-3HF (1500)>

SCSF-3HF(1500)

<R-3(100)>

R-3(100)

減衰長の測定方法

全生産品に対し、3mファイバーサンプルを用いて減衰長を定期的に測定しています。
図中の減衰曲線(例)は、極めて近距離を除き単一指数関数式 I(x)=I0exp(-x/λ) で近似されます。減衰長 λ は x=100cm から x=300cm の間のデータを用いて算出されます。

グラフ:シンチレーションフイァバー 減衰長の測定方法
図:減衰長の測定方法

波長変換ファイバー

発光波長を変換して受光効率を高めるタイプです。吸収・発光ピークと減衰長を比較できます。

DescriptionEmissionAbsorption Peak [nm]Att.Leng.[m]Characteristics
ColorPeak [nm]
B-2(200)blue473375>3.5UV to Blue Shifter
B-3(200)blue450351>4.0
Y-8(100)green511455>3.0Blue to Green Shifter
Y-11(200)green476430>3.5
O-2(100)orange550535>1.5Green to Orange Shifter
R-3(100)red610577>2.0Green to Red Shifter
YS-1green454395>3.5 
YS-2green474422>3.5 
YS-4green470420>3.0 
YS-6green462414>3.0 

吸収・発光スペクトル(蛍光)

※掲載データは代表値です。測定条件により値は変動します。製品仕様の保証値ではありません。

グラフ:吸収・発光スペクトル(蛍光)
グラフ:吸収・発光スペクトル(蛍光)
グラフ:吸収・発光スペクトル(蛍光)

発光スペクトル

B-2 (200)

グラフ:B-2(200)

B-3 (200)

グラフ:B-3(200)

Y-8 (150)

グラフ:Y-8(150)

Y-11 (200)

グラフ:Y-11(200)

O-2 (100)

グラフ:O-2(100)

<R-3(100)>

R-3(100)

YS-1

グラフ:発光スペクトル(YS-1)

YS-2

グラフ:発光スペクトル(YS-2)

YS-4

グラフ:発光スペクトル(YS-4)

YS-6

グラフ:発光スペクトル(YS-6)

減衰長の測定方法

全生産品に対し、3mファイバーサンプルを用いて減衰長を定期的に測定しています。
図中の減衰曲線(例)は、極めて近距離を除き単一指数関数式 I(x)=IDexp(-x/ג) で近似されます。減衰長 ג は x=100cm から x=300cm の間のデータを用いて算出されます。

グラフ:波長変換ファイバー 減衰長の測定方法
図:減衰長の測定方法

技術データ(伝送損失)

シンチレーションファイバー

SCSF-78

グラフ:SCSF-78

SCSF-81

グラフ:SCSF-81

SCSF-3HF (1500)

グラフ:SCSF-3HF(1500)

波長変換ファイバー

Y-7, Y-8, Y-11

グラフ:波長変換ファイバー(Y-7, Y-8, Y-11)の伝送損失

B-2, B-3

グラフ:波長変換ファイバー(B-2, B-3)の伝送損失

O-2, R-3

グラフ:波長変換ファイバー(O-2, R-3)の伝送損失

クリアファイバー

グラフ:クリアファイバーの伝送損失

タイプ別の仕様・特性を見る

技術情報

スペクトル・特性データ

発光スペクトル、減衰時間、減衰長などの技術データを一覧で確認できます。比較検討にご活用ください。

イメージ:技術データ

製品カタログ

カタログはこちらからダウンロードいただけます。

アイコン:CTA

お問い合わせ

製品に関するお問い合わせはこちらから。

アイコン:CTA