Skip to main content

Spectral and Characteristic Data

This page shows emission spectra and main characteristics (emission peak, decay time, decay length, etc.) of scintillation fiber/wavelength conversion fiber. Please use this information as a reference when comparing grades and evaluating options.

Scintillating Fiber

This basic type emits light when exposed to radiation and is used for detection. Luminescence peak/attenuation time/attenuation length can be compared.

DescriptionEmissionDecay time
NS21
Att.Leng.
[m]
Light yield
[photon/MeV]
Characteristics
Color  Peak [nm]
SCSF-78  blue4502.8>4.0≳14,000Long Att. Length and High Light Yield
SCSF-81blue4372.4>3.5≳11,000Long Att. Length
SCSF-3HF (1500)green5307>4.5≳8,0003HF formulation for Radiation Hardness

The data shown are representative values for comparative study. Values may vary depending on measurement conditions. Not a guaranteed value.
*Presented data: 1 mmφ, multi-clad, Non-S type measured values

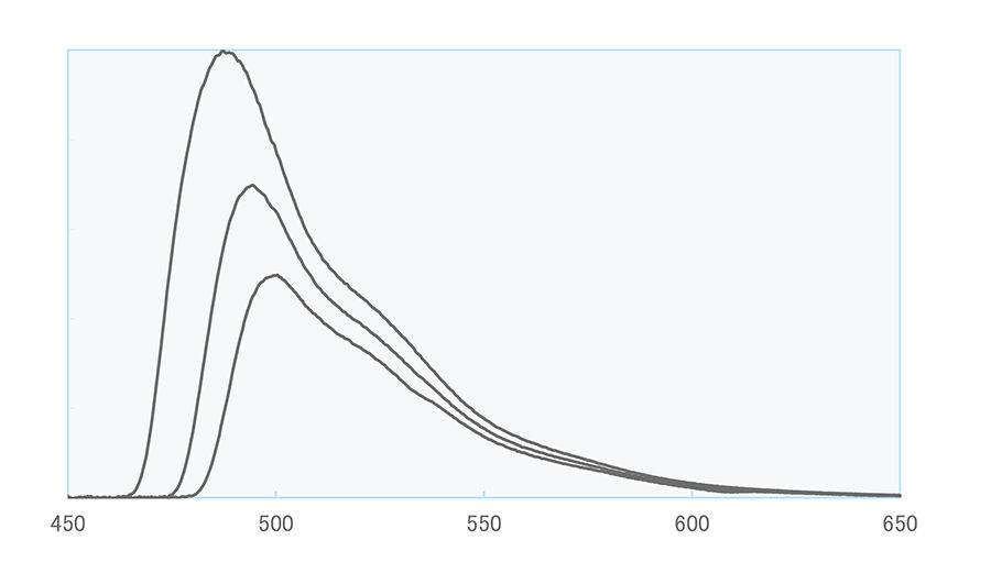
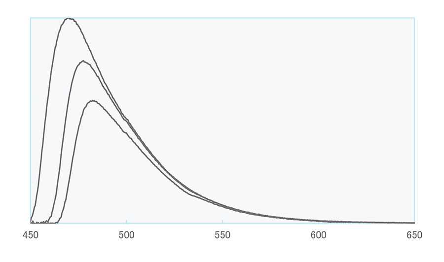
Emission Spectrum

Data shown are representative values. Values may vary depending on measurement conditions. These are not guaranteed values for product specifications.

<SCSF-78>

Figure: SCSF-78

<SCSF-81>

Figure: SCSF-81

<SCSF-3HF (1500)>

SCSF-3HF(1500)

<R-3(100)>

R-3(100)

Attenuation Length Measurement Method

Attenuation lengths are regularly measured for all produced products using 3 m fiber samples.
The decay curves in the figure (for example) are approximated by the single exponential formula  I(x) = I₀ exp(-x/λ) except at very short distances. The attenuation length  λ is calculated using data between x = 100 cm and x = 300 cm.

Figure: Scintillating fiber attenuation length measurement method
Figure: Attenuation length measurement method

Wavelength Converting Fiber

This type converts the emission wavelength to increase light-receiving efficiency. Absorption and emission peaks and attenuation lengths can be compared.

DescriptionEmissionAbsorption Peak [nm]Att.Leng. [m].Characteristics
ColorPeak [nm]
B-2 (200)blue473375>3.5UV to Blue Shifter
B-3 (200)blue450351>4.0
Y-8 (100)green511455>3.0Blue to Green Shifter
Y-11 (200)green476430>3.5
O-2 (100)orange550535>1.5Green to Orange Shifter
R-3 (100)red610577>2.0Green to Red Shifter
YS-1green454395>3.5 
YS-2green474422>3.5 
YS-4green470420>3.0 
YS-6green462414>3.0 

Absorption and Emission Spectra (fluorescence)

Data shown are representative values. Values may vary depending on measurement conditions. These are not guaranteed values for product specifications.

Figure: Absorption and emission spectra (fluorescence)
Figure: Absorption and emission spectra (fluorescence)
Figure: Absorption and emission spectra (fluorescence)

Emission Spectrum

B-2 (200)

Figure: B-2(200)

B-3 (200)

Figure: B-3(200)

Y-8 (150)

グラフ:Y-8(150)

Y-11 (200)

Figure: Y-11(200)

O-2 (100)

Figure: O-2(100)

<R-3(100)>

R-3(100)

<YS-1>

Graph: Emission Spectrum (YS-1)

<YS-2>

Graph: Emission Spectrum (YS-2)

<YS-4>

Graph: Emission Spectrum (YS-4)

<YS-6>

Graph: Emission Spectrum (YS-6)

Attenuation Length Measurement Method

Attenuation lengths are regularly measured for all produced products using 3 m fiber samples.
The decay curves in the figure (example) are approximated by the single exponential formula  I(x) = I₀ exp(-x/λ) except at very short distances. The attenuation length  λ is calculated using data between x = 100 cm and x = 300 cm.

Figure: Wavelength conversion fiber attenuation length measurement method
Figure: Attenuation length measurement method

Technical Data (transmission loss)

Scintillating Fiber

SCSF-78

Figure: SCSF-78

SCSF-81

Figure: SCSF-81

SCSF-3HF (1500)

Figure: SCSF-3HF(1500)

Wavelength Converting Fiber

Y-7, Y-8, Y-11

Figure: Wavelength conversion fiber (Y-7, Y-8, Y-11) transmission loss

B-2, B-3

Figure: Wavelength conversion fiber (B-2, B-3) transmission loss

O-2, R-3

Figure: Wavelength conversion fiber (O-2, R-3) transmission loss

Clear Fiber

Figure: Clear fiber transmission loss

Grade Lineup

Technical Information

Spectral and characteristic data

Technical data such as emission spectrum, decay time, and decay length can be listed. Please use this information for comparative purposes.

Image: Technical data

Product Catalog

The catalog can be downloaded here.

Icon: CTA

Contact Us

Contact us for product inquiries.

icon:CTA